This website requires JavaScript.
Explore
Help
Register
Sign In
jiazhizhong
/
higress
Watch
1
Star
0
Fork
0
You've already forked higress
mirror of
https://github.com/alibaba/higress.git
synced
2026-03-19 01:37:28 +08:00
Code
Issues
Packages
Projects
Releases
Wiki
Activity
Files
9aef35c31f22888e01c60ca37f3cece3a776b8a4
higress
/
plugins
/
wasm-go
/
extensions
/
api-workflow
/
img
/
dag.png
lixf311
e26a2a37d7
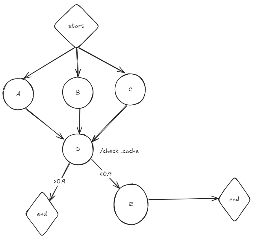
feat: add api-workflow plugin (
#1229
)
2024-10-09 19:52:16 +08:00
54 KiB
848x800px
Raw
History
Reference in New Issue
View Git Blame
Copy Permalink